产品列表
										
				联系我们
										销售热线:0632-5113088
外贸电话:0632-5113066
公司传真:0632-5113155
地址:山东省枣庄市市中区水处理剂产业园(十里泉东路1号)
E-mail:th@thwater.com
				外贸电话:0632-5113066
公司传真:0632-5113155
地址:山东省枣庄市市中区水处理剂产业园(十里泉东路1号)
E-mail:th@thwater.com
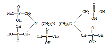
| 双1,6-亚己基三胺五甲叉膦酸钠 BHMTPh•PN (Na2)
 别名:二己烯三胺五亚甲基膦酸钠 CAS No. 35657-77-3 分子式 C17H42O15N3P5Na2 相对分子质量:约731 结构式 
					 一、产品性能BHMTPh•PN(Na2)是高效的螯合型阻垢剂,对碳酸盐垢和硫酸盐垢具有良好的阻垢效果。在较宽的pH范围和120℃高温下有极佳的水溶性和热稳定性,对钙离子容忍度高。BHMTPh•PN(Na2)是油田水处理中的缓蚀阻垢剂,工业循环冷却水和锅炉水的阻垢缓蚀剂。 二、质量指标
 三、使用方法单独使用或与聚羧酸型阻垢分散剂配合使用。 四、包装与储存BHMTPh•PN(Na2)用塑料桶包装,每桶25Kg或根据用户需要确定。贮于室内阴凉处,贮存期为十个月。 五、安全防护BHMTPh•PN(Na2)为弱酸性,操作时注意劳动保护,应避免与皮肤、眼睛等接触,接触后用大量清水冲洗。 | ||||||||||||
| 
 | ||||||||||||
| 关键字: 双1,6-亚己基三胺五甲叉膦酸钠 BHMTPH•PN,双1,6-亚己基三胺五亚甲基膦酸钠 BHMTPH•PN | 
 
	 
			