山东泰和科技股份有限公司

水处理药剂专业生产商

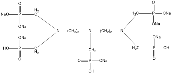
二乙烯三胺五甲叉膦酸七钠 DTPMP•Na7

sodium salt of hylene Triamine Penta (Methylene Phosphonic Acid) (DTPMP•Na7)

CAS No.:68155-78-2 (7-Na) 22042-96-2 (x-Na)

分子式  C9H21O15N3P5Na7                              相对分子质量:727

结构式

二乙烯三胺五甲叉膦酸七钠(DTPMP•Na7)结构式

一、性能与用途

DTPMP•Na7可用作阻垢剂、高效螯合剂、优良的BaSO4阻垢剂,DTPMP•Na7广泛用于冷却水处理、过氧化物漂白的稳定剂、洗涤助剂、市政工业清洁用水、地热水处理、油田阻垢。

二、技术指标

项  目 指  标
HG/T 4330-2012
外 观 红棕色液体 红棕色透明液体
活性组分(以DTPMPA计)/% 31.5~33.5 24.0~26.0
活性组份(以DTPMPA·Na7计)/% 40.0~42.5 30.5~33.0
总磷含量(以PO43-计)/% -- 19.7~21.7
pH值(1%水溶液) 7.0~9.0 7.0~9.0
密度(20℃)/g·cm-3 ≥1.25 1.24~1.34
氯化物(以Cl-计) /% ≤5.0 ≤5.0
Fe含量(以Fe计) /mg·L-1 ≤20.0 ≤20.0

三、包装与贮存

DTPMP•Na7用塑料桶包装,每桶25Kg 或250Kg,也可根据用户需要确定。贮于室内阴凉处,贮存期十个月。

四、安全防护

DTPMP•Na7为中性,操作时注意劳动保护,应避免与皮肤、眼睛等接触,接触后用大量清水冲洗。

水处理剂二乙烯三胺五甲叉膦酸七钠DTPMP•Na7相关的内容】
○ 与有机膦酸盐相关内容
○ DTPMPA的钠盐 二乙烯三胺五甲叉膦酸七钠 DTPMP•Na7
二乙烯三胺五亚甲基膦酸 DTPMPA
关键字:  二乙烯三胺五甲叉膦酸七钠 DTPMP•Na7二乙烯三胺五亚甲基膦酸七钠 DTPMP•Na7有机膦酸盐

销售热线:0632-5113088  销售传真: 0632-5113155
地址:山东省枣庄市市中区水处理剂产业园(十里泉东路1号) 网址:http://www.thwater.com http://www.shuichuliji.com E-mail:th@thwater.com
版权所有© :2006-2023 山东泰和科技股份有限公司 鲁ICP备05038388号